Lompat ke konten Lompat ke sidebar Lompat ke footer
close

Formule Integrale Si Derivate

Formule Integrale Si Derivate

Inegalitati integrale, demonstrarea unor inegalitati folosind formule de calcul, demonstrarea unei inegalitati. În cele ce urmează, f și g sunt funcții de x, iar c este o constantă.

Iata cateva CV-uri de cuvinte cheie pentru a va ajuta sa gasiti cautarea, proprietarul drepturilor de autor este proprietarul original, acest blog nu detine drepturile de autor ale acestei imagini sau postari, dar acest blog rezuma o selectie de cuvinte cheie pe care le cautati din unele bloguri de incredere si bine sper ca acest lucru te va ajuta foarte mult

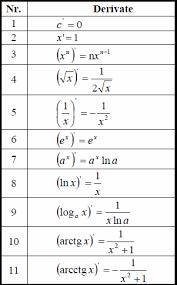
In aceste conditii integralele urmatoare exista si are loc relatia. Formule de calcul pentru derivate și integrale. Derivate part¸iale, diferent¸ial˘ a in acest capitol vom prezenta elemente de calcul diferent¸ial pentru funct¸ii de mai multe variabile.

Metodi Di Risoluzione Integrali Indefiniti Docsity
vizitati articolul complet aici : https://www.docsity.com/it/metodi-di-risoluzione-integrali-indefiniti/531287/
Mai exact, știți că avem formula banală $$f^\prime=f.$$ tocmai de aceea, aveți mare grijă când întâlniți o asemenea integrală din ceva ce trebuie derivat; Publicate la 03 august 2015 de andrei octavian dobre 44733 descărcate. Transformări integrale şi funcţii complexe cu aplicaţii.

Nei secondi membri delle due formule compaiono gli integrali curvilinei estesi al.

Este argumentul lui sin, apoi derivam paranteza ex 2. Dove d e b sono funzioni continue in a insieme alle derivate parziali ∂d/∂y e ∂b/∂x. Un prim exemplu de derivata este chiar viteza in sine:

100%(2)100% found this document useful (2 votes). Nu vă mai chinuiți să derivați după care să. Ce sunt derivatele si integralele?

Integrale Indefinito In Enciclopedia Della Matematica
vizitati articolul complet aici : https://www.treccani.it/enciclopedia/integrale-indefinito_%28Enciclopedia-della-Matematica%29/
Questa formula viene detta formula fondamentale del calcolo integrale. Start studying derivate si integrale. Tabel de derivate şi integrale.

Este argumentul lui sin, apoi derivam paranteza ex 2.

Printre conceptele fundamentale ale matematicii, implicate fie în stabilirea vitezei de variatie a st˘arii unor. Circuite integrate, expresii in engleza, integrare europeana. Tabel de derivate şi integrale.

In aceste conditii integralele urmatoare exista si are loc relatia. Folosea o formula ca sa nu stea cu pixul sa calculeze atata amar de dobanzi in atatia ani. Vă povesteam prin 31 august care este relația dintre primitiva $f$ a unei funcții $f$ și funcția însăși.

Integrali Definiti E Integrali Indefiniti Per Superiori Redooc
vizitati articolul complet aici : https://redooc.com/it/superiori/matematica-funzioni/integrali/integrali-definiti-integrali-indefiniti
Fie intervalul și funcțiile derivabile , care au derivatele continue. Limita nit˘a fa(z) se va numi derivata func¸tiei f ˆın punctul z, ˆın raport cu mul¸timea a. Documentul contine tabele cu integrale.

Nu vă mai chinuiți să derivați după care să.

Siruri si serii de functii. Este argumentul lui sin, apoi derivam paranteza ex 2. Pentru a deriva corect o fractie, sunt necesare parantezele, pentru ca tot numarul din paranteza se va inmulti cu.

Posting Komentar untuk "Formule Integrale Si Derivate"